 
        	          	        容器與變送器的法蘭相連接是雙法蘭液位變送器的典型特征,目前化工企業已普遍應用雙法蘭液位變送器,因此如何更好地將雙法蘭液位變送器應用在容器裝置上,已成為化工生產中需要重點研究的課題之一。基于此,本文就以雙法蘭液位變送器在容器不同安裝位置的具體應用入手,對真空、高溫不同條件下需要注意的問題進行分析,從而明確雙法蘭變送器在實際應用中存在的問題及相應的優化措施,具體如下。
1、雙法蘭液位變送器安裝結構
        雙法蘭液位變送器和普通差壓器的工作原理是一致的,但雙法蘭壓差變送器的安裝結構與普通差壓變送器有著明顯差異 。雙法蘭液位變送器和容器的法蘭直接連通,其中的金屬膜盒通過毛細管和變送器測量室直接相連。最終形成由膜盒、測量室以及毛細管共同形成的密閉系統空間,以硅油作為其中的傳壓介質。
2、變送器安裝在不同位置上的應用
2.1 安裝于開口容器低端法蘭水平線以下
        此種安裝結構見上圖所示,容器低端法蘭和變送器中的高壓室法蘭相連通,而此時低壓室的法蘭則會直接置于空氣環境中,并和高壓室處在同一高度中,在此種安裝形式下,其測量的應用范圍可用如下公式表示:

        其中 Y 為變送器量程,單位 KPa;Y’為零點遷移量,單位為 KPa;H 為從最低到最高測量液位的高度,單位 m;h1為容器低端法蘭到最低測量液位的高度,單位 m;r1 被測原料的液體介質比重,單位 kg/m³。△P1 為處在最低測量液位狀態下,變送器受到的等效靜壓差,單位為 Kpa。△P2 為處在最高測量液位狀態下,變送器受到的等效靜壓差,單位為Kpa。由上述公式可得出此種安裝形式的變送器測量應用范圍為:Y’-(Y+Y’ ) 。
2.2 開口容器低端法蘭水平線以上
        此種安裝模式如上圖所示,在此種安裝模式下,容器低端法蘭和高壓室法蘭相連通,低壓室的法蘭則直接置于空氣環境中,并和正負壓實處在同一高度,那么其應用范圍可用以下公式表示:

        其中, h2 為容器低端至變送器正負壓室的高度, 單位 m;r2 為毛細管中的原料液體比重,單位 kg/m³。則可由此得出變送器在此種安裝模式下的測量應用范圍為 Y’-(Y+Y’)。
        通過以上兩種安裝形式可以看出,雖然安裝位置存在差異,但得到的測量應用范圍是一致的。
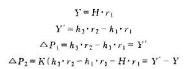
2.3 裝置于密閉容器低段法蘭水平線之下
        此種安裝結構如上圖所示,容器高端與變送器高壓室的法蘭直接連通,且容器低段和低壓室的法蘭連通,那么其應用范圍可用以下公式表示:

        其中 h3 表示容器上下兩端法蘭的高度距離,單位 m,那么變送器測量的實際應用范圍為 Y’-(Y-Y’ ) 。
3、不同條件下雙法蘭變壓器應用需要注意的問題
(1)高溫狀態下,填充油會因熱脹冷縮而發生膨脹,如果膨脹達到一定限度,那么填充油則可能會從泄漏點泄漏出來,從而會引發高溫狀態下的測量誤差 。
(2)真空狀態下,傳感膜片能夠受到向外方向的作用力,致使膜片向外突出,造成其內部的硅油處于一種負壓狀態,而外界空氣則可能在壓差的作用下從泄漏點滲透,增大填充由中的氣體含量,從而對測量結果造成影響。
(3)填充油中難免會存在一部份空氣,正常情況下不會有影響,然而高溫、真空等條件會造成空氣膨脹, 生產壓力, 進而導致滲漏點滲漏造成測量誤差。
4、雙法蘭液位變送器的應用優化措施
        從前文分析可以看出,高溫、真空等狀態都可能會造成的測量誤差,誤差機制主要是因特殊環境引起滲漏點向外或向內滲漏所造成的。針對此種情況,該廠將普通型變送器改為采用高真空、高溫工藝制造的耐高溫型雙法蘭變送器,并以全焊接技術將各泄漏點焊死,同時配合耐高溫及耐真空技術工藝。該廠通過此次技術改造,最終有效避免了特殊條件下的負面影響,至此該化工廠的測量準確性實現了顯著提升。
綜上所述,雙法蘭液位變送器的安裝位置差異并不會影響變送器的實際應用效果,若將高低壓室法蘭位置進行互換,那么零點遷移則會從正向遷移向負遷移轉變。此外為避免真空、高溫等特殊條件造成的測量誤差,可通過相應的技術改造,提升變送器應用中的測量準確性。
